SGK KPSS 2025/2 İle 1000 Personel Alımı Şartları ve Taban KPSS

Sosyal Güvenlik Kurumu 1000 memur alımı tercihlerinde sona geldik. Şartları, Taban KPSS puanı ve detayları haberde.

Sosyal Güvenlik Kurumu (SGK), KPSS 2025/2 tercih kılavuzu kapsamında toplam 1000 sözleşmeli personel alımı gerçekleştirecek. Daha önce İşin Olsa olarak duyurduğumuz alım sürecinde; kadro dağılımları, nitelik kodları ve başvuru şartları ve taban kpss netleşti.

SGK bünyesinde yapılacak personel alımları; büro personeli, koruma ve güvenlik görevlisi, destek personeli ve teknisyen kadrolarını kapsıyor. Alımlar, 657 sayılı Devlet Memurları Kanunu’nun 4/B maddesi kapsamında sözleşmeli statüde yapılacak.

SGK 2025/2 Personel Alımı Kadro Dağılımı

KPSS 2025/2 tercih kılavuzuna göre SGK’nın toplam 1000 kişilik alımı şu şekilde olacak:

  • 575 Büro Personeli
  • 100 Koruma ve Güvenlik Görevlisi
  • 275 Destek Personeli
    (Temizlik Personeli, Aşçı, Şoför, Bulaşıkçı)
  • 50 Teknisyen

Her bir kadro için mezuniyet şartları, KPSS puan türleri ve nitelik kodları ayrıca belirlendi.

Mezuniyete Göre Kontenjanlar ve Nitelik Kodları:

Lise Mezunu Kontenjanları:

  • 183 Destek Personeli ( 2055, 2001 )
  • 50 Teknisyen ( 2023, 2025, 2071, 2073, 2061, 2111, 2051 )

Ön Lisans Mezunu Kontenjanları:

  • 1 İcra Memuru ( 3003 )
  • 1 Memur ( 3004 )
  • 435 Büro Personeli ( 3384, 3004 )
  • 92 Destek Personeli ( 3222, 3001 )
  • 100 Koruma v Güvenlik Görevlisi ( 3389 )

Lisans Mezunu Kontenjanları:

  • 4 İcra Memuru ( 4421 )
  • 140 Büro Personeli ( 4177, 4463, 4421 )

Büro Personeli Alımı – 575 Kişi

Büro personeli alımları; ön lisans ve lisans mezunları arasından yapılacak. 2024 KPSS puanı geçerli olacak.

Detaylar için: https://www.isinolsa.com/sgk-kpss-tercih-kilavuzu-ile-575-buro-personeli-alimi-nitelik-kodlari-ve-sartlari/

Koruma ve Güvenlik Görevlisi Alımı – 100 Kişi

Koruma ve güvenlik görevlisi alımı; ön lisans mezunları arasından yapılacak olup 5188 sayılı Kanun kapsamındaki özel şartlar uygulanacak.

Detaylar için: https://www.isinolsa.com/sgk-kpss-tercih-kilavuzu-ile-100-koruma-ve-guvenlik-gorevlisi-alimi-yapacak/

Destek Personeli Alımı – 275 Kişi

Destek personeli alımları; temizlik personeli, aşçı, şoför ve bulaşıkçı kadrolarını kapsıyor. Şoför alımlarında geçerli sürücü belgesi şartı aranacak.

Detaylar için: https://www.isinolsa.com/sgk-kpss-tercih-kilavuzu-ile-275-destek-personeli-alimi-yapacak/

Teknisyen Alımı – 50 Kişi

Teknisyen alımları lise (ortaöğretim) mezunları arasından yapılacak. KPSSP94 puanı esas alınacak.

Detaylar için: https://www.isinolsa.com/sgk-kpss-tercih-kilavuzu-ile-50-teknisyen-alimi-yapacak/


KPSS 2025/2 Tercih Tarihleri ve Ücreti

SGK’nın KPSS 2025/2 kapsamında yapacağı 1000 sözleşmeli personel alımı için tercihler, 18 – 25 Aralık 2025 tarihleri arasında alınacak.

Adaylar tercih işlemlerini ÖSYM Aday İşlemleri Sistemi üzerinden yapacak. KPSS 2025/2 tercih ücreti 130 TL olarak belirlendi.

Tercih işlemi, yalnızca tercih ücretini yatıran adaylar tarafından tamamlanabilecek. Süresi içinde tercih yapmayan adaylar bu dönem için hak kaybı yaşayacak.

Genel Başvuru Şartları

SGK’nın sözleşmeli personel alımı tercihleri için adayların;

  • Türk vatandaşı olması,
  • KPSS’den geçerli puan almış olması,
  • Tercih edecekleri pozisyonun nitelik koşullarını sağlaması,
  • Güvenlik soruşturması ve arşiv araştırmasının olumlu sonuçlanması,
  • Şartlara uygun sağlıklı rapor ve belgeleri teslim etmesi gerekmektedir.

Her kadro için istenen nitelik kodları, mezuniyet şartları ve özel koşullar tercih kılavuzunda yer alacak olup, adayların tercih dönemini ve detayları ÖSYM’nin duyuruları üzerinden takip etmeleri önem taşıyor.

SGK personel alımıyla ilgili kadro dağılımları, tercih rehberleri ve son dakika gelişmeleri için İşin Olsayı takip etmeyi unutmayın.

Nitelik Koduna Göre Başvuru Şartları:

Lise Mezunu:

183 Destek Personeli

2055 – Nitelik Kodu: Ortaöğretim Kurumlarının Konaklama ve Seyahat Hizmetleri Alanı ve Dalları, Konaklama Hizmetleri Alanı-Konaklama Hizmetleri Dalından veya Yiyecek İçecek Hizmetleri Alanı – Turizm Endüstrisi Servis Hizmetleri Dalından mezun olmak

2001 – Nitelik Kodu: Ortaöğretim Kurumlarının herhangi bir alanından mezun olmak

50 Teknisyen

2023 – Nitelik Kodu: Ortaöğretim Kurumlarının Elektrik-Elektronik Teknolojisi Alanı ve Dallarından, Endüstriyel Otomasyon Teknolojileri Alanı – Endüstriyel Elektronik Dalından veya Endüstriyel Otomasyon Teknolojileri Alanı – Endüstriyel Kontrol Dalından mezun olmak

2025 – Nitelik Kodu: Ortaöğretim Kurumlarının El Sanatları Teknolojisi Alanı ve Dallarının, Aile ve Tüketici Hizmetleri Alanı – Beslenme ve Ev Yönetimi Dalının, Aile ve Tüketici Hizmetleri Alanı – Ev Ekonomisi Dalının, Giyim Üretim Teknolojisi Alanı – Ev ve Giyim Aksesuarları Dalının, Giyim Üretim Teknolojisi Alanı – Tekstil Konfeksiyon Dalının veya Giyim Üretim Teknolojisi Alanı – Hazır Giyim Endüstrisi Nakışı Dalının birinden mezun olmak

2071 – Nitelik Kodu: Ortaöğretim Kurumlarının Ahşap Teknolojisi Alanı ve Dalları veya Mobilya ve İç Mekan Tasarımı Alanı ve Dallarından mezun olmak.

2073 – Nitelik Kodu: Ortaöğretim Kurumlarının Motorlu Araçlar Teknolojisi Alanı ve Dalları veya Kimya Teknolojisi Alanı – Sınai Boya / Sanayi Boyacılığı ve Uygulama Tekniği Dalından mezun olmak.

2061 – Nitelik Kodu: Ortaöğretim Kurumlarının Makine Teknolojisi Alanı ve Dalları veya Makine ve Tasarım Teknolojisi Alanı ve Dallarından mezun olmak

2111 – Nitelik Kodu: Ortaöğretim Kurumlarının Tesisat Teknolojisi ve İklimlendirme Alanı ve Dallarından mezun olmak

2051 – Nitelik Kodu: Ortaöğretim Kurumlarının İnşaat Teknolojisi Alanı ve Dalları veya Ahşap Teknolojisi Alanı – Ahşap Yapı (Doğramacılık) Dalından mezun olmak.

Ön Lisans Mezunu:

1 İcra Memuru

3003 – Nitelik Kodu: Adalet önlisans programından veya Adalet Meslek Yüksekokulundan mezun olmak.

1 Memur

3004 – Nitelik Kodu: Sosyal Güvenlik önlisans programından mezun olmak.

435 Büro Personeli

3384 – Nitelik Kodu: Sosyal Hizmetler önlisans programından mezun olmak.

3004 – Nitelik Kodu: Nitelik Kodu: Sosyal Güvenlik önlisans programından mezun olmak.

92 Destek Personeli

3222 – Nitelik Kodu: Aşçılık, Hazır Yemek ve Aşçılık, Mutfak Yönetimi, Yemek Pişirme Teknikleri, Gastronomi ve Mutfak Sanatları, Gemi Aşçılığı önlisans programlarının birinden mezun olmak.

3001 – Nitelik Kodu: Herhangi bir önlisans programından mezun olmak.

100 Koruma v Güvenlik Görevlisi

3389 – Nitelik Kodu: Özel Güvenlik ve Koruma, Savunma ve Güvenlik, Güvenlik, Kamu Güvenlik ve Asayişin Sağlanması veya Güvenlik ve Koruma önlisans programlarının birinden mezun olmak

Lisans Mezunu:

4 İcra Memuru

4421 – Nitelik Kodu: Ekonomi, İktisat, İş İdaresi ve İktisat, Ekonomi ve İdari Bilimler, Ekonomi-Yönetim Bilimleri, Ekonomi Politik ve Toplum Felsefesi, Uluslararası Ekonomi lisans programlarının birinden mezun olmak

140 Büro Personeli

4177 – Nitelik Kodu: Sosyal Hizmet, Sosyal Hizmetler, Sosyal Çalışmalar lisans programlarının birinden mezun olmak

4463 – Nitelik Kodu: Sigortacılık, Sigortacılık ve Aktüerya, Sigortacılık ve Aktüerya Bilimleri, Sigortacılık ve Risk Yönetimi veya Sigortacılık ve Sosyal Güvenlik lisans programlarının birinden mezun olmak.

4421 – Nitelik Kodu: Ekonomi, İktisat, İş İdaresi ve İktisat, Ekonomi ve İdari Bilimler, Ekonomi-Yönetim Bilimleri, Ekonomi Politik ve Toplum Felsefesi, Uluslararası Ekonomi lisans programlarının birinden mezun olmak

Anında bildirim almak için İşin Olsa mobil uygulamasını indirmenizi öneririz:

https://www.isinolsa.com/mobil-uygulama/

Ayrıca ilanlardan anlık haberdar olmak için Instagram hesabımızı takip edebilirsiniz:

https://www.instagram.com/isinolsacom/

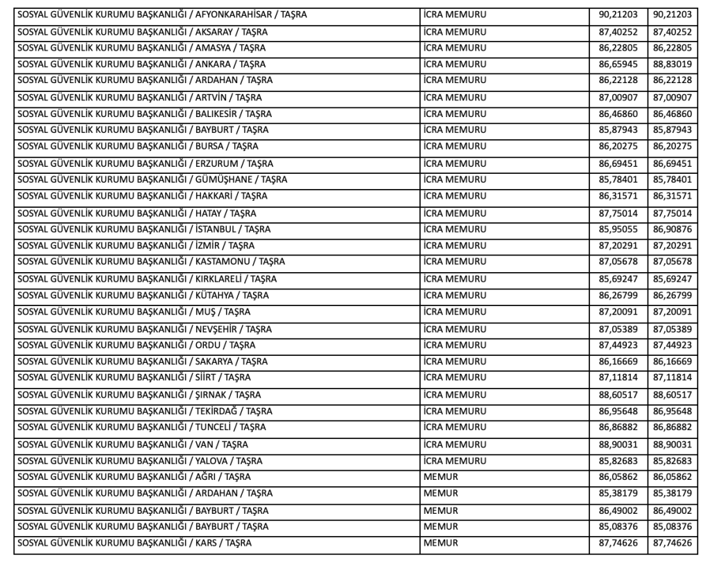
TCDD Memur Alımı KPSS Taban Puanları Ne Olacak?

KPSS 2025/2 tercih kılavuzu ile alımı yapıla 1000 memur alımında en düşük KPSS Taban puanları araştırılıyor. Bu yönde aşağıdaki puanları inceleyebilirsiniz.

Ön Lisans Mezunu Taban KPSS Puanları:

Ekran Resmi 2025 12 25 02.33.16

Lisans Mezunu KPSS Taban Puanları:

Ekran Resmi 2025 12 25 02.34.36

Yorumlar (0)

Bir yanıt yazın

E-posta adresiniz yayınlanmayacak. Gerekli alanlar * ile işaretlenmişlerdir

Sorumluluk Reddi Beyanı:

www.isinolsa.com, herhangi bir devlet kurumu, resmi kuruluş veya kamu hizmeti sağlayıcısı değildir. Sitemiz, yalnızca özel sektör hizmetleri sunan bağımsız bir platformdur ve devletle veya resmi kurumlarla hiçbir bağlantısı yoktur. Daha fazla bilgi için gizlilik politikamıza buradan ulaşabilirsiniz.