Gençlik ve Spor Bakanlığı 2025 yılı için 2750 Temizlik Görevlisi alımı yapılacağını bildirmişti. Başvurularda sona ermesi ile sonuçlar açıklandı. Taban KPSS puanı ve tabloyu sizlerle paylaşacağız.
Kadın Erkek 2750 Temizlik Görevlisi Alınıyor!
Gençlik ve Spor Bakanlığı alımlarında Lise mezunu adaylar başvuru yapacak. Kadın Erkek kontenjan dağılımı ise;
- 1251 Erkek,
- 1499 Kadın,
olmak üzere toplamda 2750 Temizlik Görevlisi alımı yapacak.
Türkiye Geneli Alım Yapılıyor!
GSB Temizlik Görevlisi alımları Türkiye Genelindeki şehirlerde yapılacak.
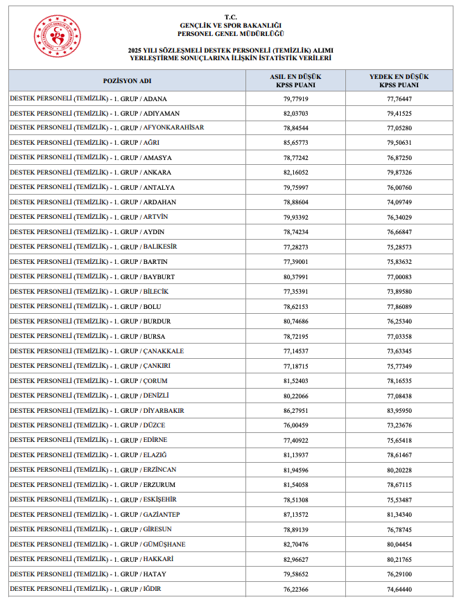
ŞEHRE GÖRE KONTENJAN DAĞILIMI BURADA
Başvuru Sonuçları AÇıklandı!
Gençlik ve Spor Bakanlığı Temizlik görevlisi alımı başvurusu sona ermesi ile birikte sonuçları 30 Ağustos 2025 tarihi ile açıklandı. BAKANLIK DUYURUSU İSE ŞÖYLEDİR:
Bakanlığımız merkez ve taşra teşkilatı birimlerinde istihdam edilmek üzere, boş bulunan sözleşmeli personel pozisyonları için 657 sayılı Devlet Memurları Kanununun 4’üncü maddesinin (B) fıkrası ile 06/06/1978 tarihli ve 7/15754 sayılı Sözleşmeli Personel Çalıştırılmasına İlişkin Esasların Ek-2’nci maddesi çerçevesinde “2025 Yılı Sözleşmeli Destek Personeli (Temizlik) Alımı” başvuruları 09 – 17 Ağustos 2025 tarihlerinde gerçekleştirilmiş olup adaylar, yerleştirme sonuçlarını Cumhurbaşkanlığı İnsan Kaynakları Ofisi Başkanlığı kariyer kapısı (https://isealimkariyerkapisi.cbiko.gov.tr) Başvurularım – Değerleme Sonuçları başlığı altından öğrenebileceklerdir.
Başvuru Değerlendirmesi Nasıl Yapıldı?
Başvurular KPSS puanı ile yapıldığından ilanda Taban puan olarak 50 puan ile başvuru alınmaktadır. Bu yönde adayların yaptıkları başvurular ele alınarak en yüksek puandan en düşük puana kadar Kontenjan sayısı kadar aday belirlenecektir.
Öte yandan ASİL aday listesi kadar Yedek aday belirlenecektir. Bu yönde GSB Mülakatsız personel alımı yapacak.
Belge Teslim Tarihi Belli Oldu!
İlan edilen kontenjan sayısına girerek yerleştirilen ve atanmaya hak kazanan asıl adaylar, aşağıda belirtilen belgeleri yerleştikleri Gençlik ve Spor İl Müdürlüklerine 08 – 12 Eylül 2025 tarihleri arasında mesai saatleri içerisinde teslim edeceklerdir.
İlgililere ilanen duyurulur.
GELİŞMELERDEN ANINDA HABERDAR OLMAK İÇİN İŞİN OLSA MOBİL UYGULAMASINI İNDİRİNİZ.
İşin Olsa İnstagram >>>>> BURAYA
İOS ve Android Uygulama İçin >>>> BURAYA
Taban KPSS Atama Puanı Belli Oldu!
GSB’nin 2.750 kişilik temizlik görevlisi alımında taban KPSS puanları açıklandı. Şehre göre açıklana verilere bakacak olursak en düşü:
İstanbul’da 73,04711 KPSS Puanı ile atama yapıldı!
Şehre Göre Taban Puanlar Şöyl:




SİZ KAÇ PUANLA BAŞVURU YAPTINIZ? YORUMLARA YAZINIZ
🧮 Maaşınızı Hemen Hesaplayın
2026 yılı güncel katsayılarına göre memur, emekli, asker ve sözleşmeli personel maaşınızı tek sayfadan kolayca hesaplayın.
2026 Maaş Hesaplama Robotu →

