Devlet Demiryolları bünyesinde istihdam edilmek üzere KPSS 2025/2 tercih kılavuzu kapsamında memur alımı YAPIYOR. ÖSYM tarafından yayımlanan güncel kılavuza göre, TCDD farklı kadro ve unvanlarda en az lise, ön lisans ve lisans mezunu adaylar arasından toplam 210 memur istihdam edecek. İşte başvuru şartları, kontenjan dağılımı ve aranan nitelikleri İşin Olsa ekibi olarak sizlerle paylaşacağız.
Tercih İşlemleri sona eriyor!
TCDD memur alımı için tercih süreci 18 Aralık 2025 tarihi itibarıyla başladı. Adaylar tercihlerini 25 Aralık 2025 Perşembe gününe kadar ÖSYM’nin Aday İşlemleri Sistemi (https://ais.osym.gov.tr) üzerinden gerçekleştirebilecek.
MEMUR GÜNCEL MAAŞ HESAPLAMALARI BURADA
Hangi Kadrolara Alım Yapılacak?
TCDD’nin personel ihtiyacını karşılamak üzere yapılan alımlar Türkiye genelindeki çeşitli şehirlerde gerçekleştirilecek. Mezuniyet düzeyine göre kontenjan dağılımı ise şöyle:
Lise Mezunu Kadrolar
- 13 Vagon Teknisyeni ( 2086 )
Ön Lisans Mezunu Kadrolar
- 2 Kondoktör ( 3224 )
- 2 İtfaiyeci ( 3331 )
- 2 Tekniker ( 3205 )
- 137 Memur ( Hat Bakım Onarım Memuru ) ( 1101 )
Lisans Mezunu Kadrolar
- 7 Memur ( 4478, 4431 )
- 5 Mühendis ( 4639, 4703 )
- 32 Hareket Memuru ( 1101 )
- 1 Mütercim ( 4083 ),
- 9 Sürveyan ( 1101 ),
Aranan Genel Başvuru Şartları
TCDD memur alımına başvuracak adayların:
- T.C. vatandaşı olması,
- Kamu haklarından mahrum bulunmaması,
- Görevini yapmasına engel sağlık sorunu bulunmaması,
- Erkek adaylar için askerlik ile ilişiğinin olmaması,
- Güvenlik soruşturması ve arşiv araştırmasından olumlu sonuç alması
gerekmektedir.
Ayrıca, hiçbir sosyal güvenlik kurumundan emekli veya yaşlılık aylığı alınmaması şartı aranır.
KPSS Puan Şartı ve Taban Beklentisi
TCDD alımlarında 2024 yılı KPSS puanları geçerli olacak olup, Lise için P94, Ön Lisans için P93 ve Lisans için P3 puan türünden puan almış olmak gereklidir.
Önceki atamalarda Taban puana baktığımızda ise en düşük 64 KPSS puanı ile Lisans adaylardan atama yapılmıştır.
Özel Şartlar Nelerdir?
- Tüm adaylar, atandıkları TCDD işyerlerinde en az 5 yıl görev yapmadan tayin talebinde bulunamayacaktır.
- Mühendis (4492) pozisyonu için C sınıfı İş Güvenliği Uzmanlığı Belgesi zorunludur. Bu belgeye sahip olmayan adayların atamaları yapılmaz.
- Kondoktör pozisyonuna yerleşecek adaylar, 7/24 esasına göre trenle seyahat etmeyi kabul etmelidir.
- Lojistik Memuru (4478, 4484, 4485) için sağlık ve psikoteknik koşullar aranır. Bu unvanda çalışacaklar, yükleme, boşaltma, tartım ve manevra gibi görevleri yerine getirmekle yükümlü olacaklardır.
Nitelik Kodları Nelerdir?
Lise Mezunu Kadrolar
Vagon Teknisyeni
- 2086 – Ortaöğretim Kurumlarının Raylı Sistemler Teknolojisi Alanı-Raylı Sistemler Makine Dalı, Raylı Sistemler Elektrik- Elektronik Dalı, Raylı Sistemler Mekatronik Dalı veya Raylı Sistem Araçları Dalından Mezun Olmak.
Ön Lisans Mezunu Kadrolar
Kondoktör
- 3224 – Raylı Sistemler İşletmeciliği önlisans programından mezun olmak.
Tekniker
- 3205 – Demiryolu Araçları, Raylı Sistemler Teknolojisi veya Raylı Sistemler Makine Teknolojisi önlisans programlarının birinden mezun olmak.
Memur ( Hat Bakım Onarım Memuru )
- 1101 – Acil Bakım Teknikerliği, Acil Yardım Teknikerliği, Ambulans ve Acil Bakım Teknikerliği, Paramedik, Acil Yardım, Ambulans ve Acil Bakım, İlk ve Acil Yardım önlisans programlarının birinden mezun olmak.
Lisans Mezunu Kadrolar
Memur
- 4478 – Uluslararası Ticaret ve İşletmecilik, Uluslararası İşletmecilik ve Ticaret, Uluslararası Ticaret ve Pazarlama, Uluslararası Ticaret ve Finansman Uluslararası Ticaret ve Finans, Uluslararası Ticaret lisans programlarının birinden mezun olmak.
Mühendis
- 4639 – Makine Mühendisliği, Makine ve İmalat Mühendisliği, Makine ve Üretim Mühendisliği, Makine ve Malzeme Mühendisliği lisans programlarının birinden mezun olmak.
- 4703 – Endüstri Mühendisliği, Endüstri Sistemleri Mühendisliği, Endüstri ve Sistem Mühendisliği, Sistem Mühendisliği, Üretim Sistemleri Mühendisliği, Üretim Mühendisliği, İmalat Mühendisliği lisans programlarının birinden mezun olmak.
Hareket Memuru
- 1101 – Acil Bakım Teknikerliği, Acil Yardım Teknikerliği, Ambulans ve Acil Bakım Teknikerliği, Paramedik, Acil Yardım, Ambulans ve Acil Bakım, İlk ve Acil Yardım önlisans programlarının birinden mezun olmak.
Mütercim,
- 4083 – Mütercim-Tercümanlık (İngilizce), Çeviribilim (İngilizce), Çeviribilim, Mütercim-Tercümanlık, Mütercim Tercümanlık, Mütercim-Tercümanlık (Türkiye Türkçesi-İngilizce), Mütercim-Tercümanlık (İngilizce-Fransızca), Mütercim-Tercümanlık (İngilizce-Fransızca-Türkçe), Mütercim-Tercümanlık (Türkçe-Almanca-İngilizce), Çeviribilimi(İngilizce),İngilizce Mütercim ve Tercümanlık, İngilizce, Fransızca Mütercim ve Tercümanlık lisans programlarının birinden mezun olmak
Sürveyan
- 1101 – Acil Bakım Teknikerliği, Acil Yardım Teknikerliği, Ambulans ve Acil Bakım Teknikerliği, Paramedik, Acil Yardım, Ambulans ve Acil Bakım, İlk ve Acil Yardım önlisans programlarının birinden mezun olmak.
Nitelik Kodları ve Mezuniyet Alanları
Başvuru yapacak adayların tercih edecekleri kadroların nitelik kodlarına ve mezuniyet alanlarına dikkat etmeleri gerekmektedir.
Tercihler Nasıl Yapılacak?
Tüm adaylar tercihlerine https://ais.osym.gov.tr adresinden, T.C. kimlik numarası ve şifresiyle giriş yaparak ulaşabilecekler. Her aday en fazla 30 tercih yapabilir. Tercihler 25 Aralık 2025 saat 23:59‘da sona erecek.
Mobil Bildirim Almak İster misiniz?
TCDD memur alımı başta olmak üzere tüm kamu personel alımlarına dair ilk siz haberdar olun! İşin Olsa mobil uygulamasını indirin ve tercih sonuçları açıklandığında bildirimle öğrenin.
BAŞVURU ERANI AÇILDIĞINDA ANINDA HABERDAR OLMAK İÇİN İŞİN OLSA MOBİL UYGULAMASINI İNDİRİNİZ.
İşin Olsa İnstagram >>>>> BURAYA
İOS ve Android Uygulama İçin >>>> BURAYA
Taban KPSS Puanı Kaç Olacak?
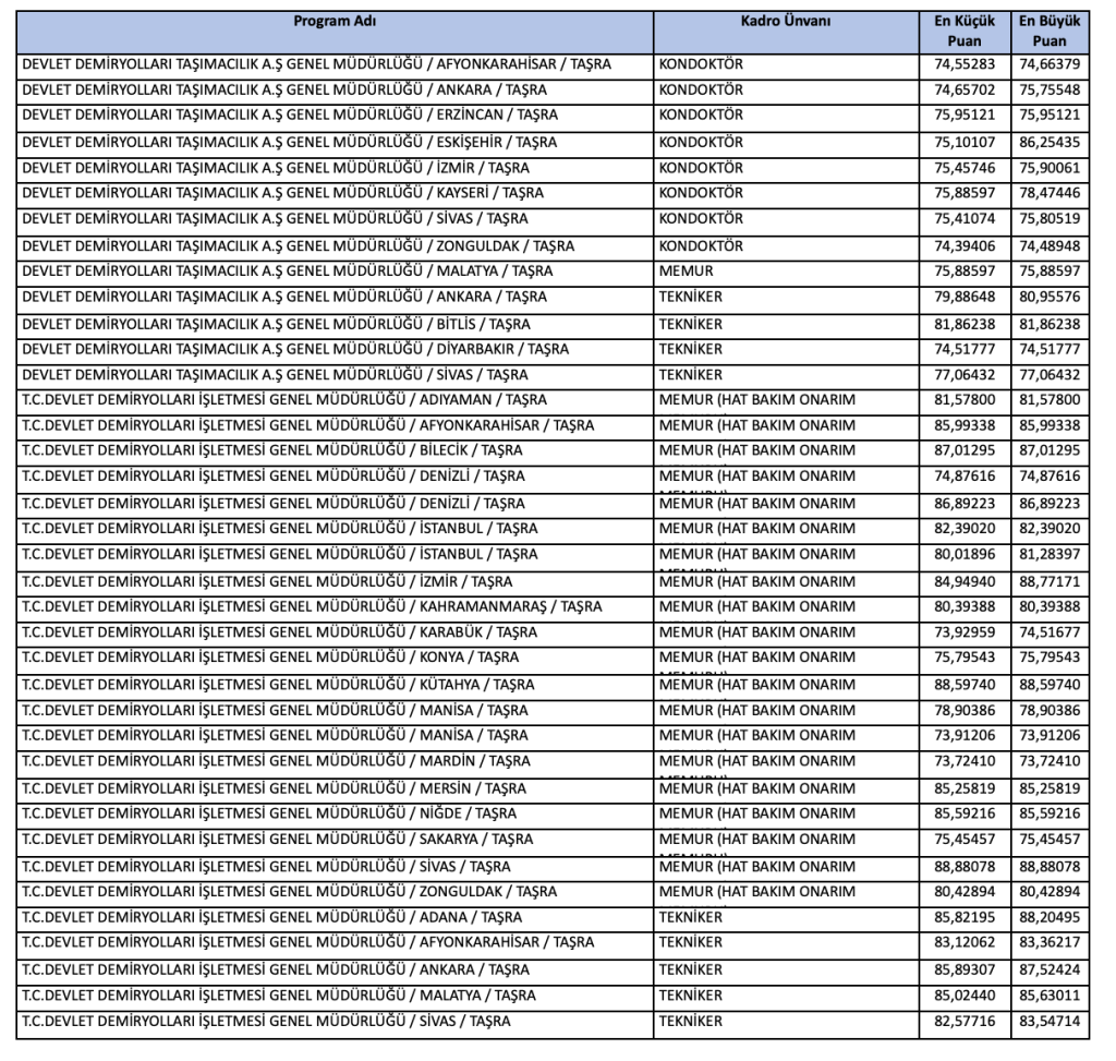
TCDD KPSS Tercihleri ile memur alımında en çok taban KPSS puanları merak edilmektedir. Bu yönde aşağıda mezuniyete göre geçmiş atamalardaki KPSS taban puanlarına ulaşabilirsiniz.
Lise mezunu Atama Puanları:

Ön Lisans mezunu Atama Puanları:

Lisans mezunu Atama Puanları:

🧮 Maaşınızı Hemen Hesaplayın
2026 yılı güncel katsayılarına göre memur, emekli, asker ve sözleşmeli personel maaşınızı tek sayfadan kolayca hesaplayın.
2026 Maaş Hesaplama Robotu →

