Millî Savunma Bakanlığı, merkez ve bağlı birimlerinde görevlendirilmek üzere 1457 sivil memur alımı yapacağını duyurdu. MSB tarafından yayımlanan resmi başvuru kılavuzu ile birlikte başvuru tarihleri, alım yapılacak kadrolar, KPSS şartları ve sınav sürecine ilişkin tüm detaylar netleşti.
Adaylar başvurularını online olarak, belirlenen tarihler arasında gerçekleştirecek.
MSB 1457 Memur Alımı Başvuru Tarihleri
- Başvuru başlangıcı: 26 Aralık 2025
- Başvuru bitişi: 25 Ocak 2026 (Saat 23:59)
Belirtilen tarihten sonra sistem üzerinden başvuru alınmayacaktır.
Başvurular Nereden ve Nasıl Yapılacak?
MSB memur alımı başvuruları sadece online olarak yapılacak.
Başvuru adresi: https://personeltemin.msb.gov.tr
- Şahsen, posta yoluyla veya e-Devlet üzerinden başvuru kabul edilmeyecek
- Her aday yalnızca bir kadro için başvuru yapabilecek
- Başvuru esnasında beyan edilen bilgiler esas alınacak
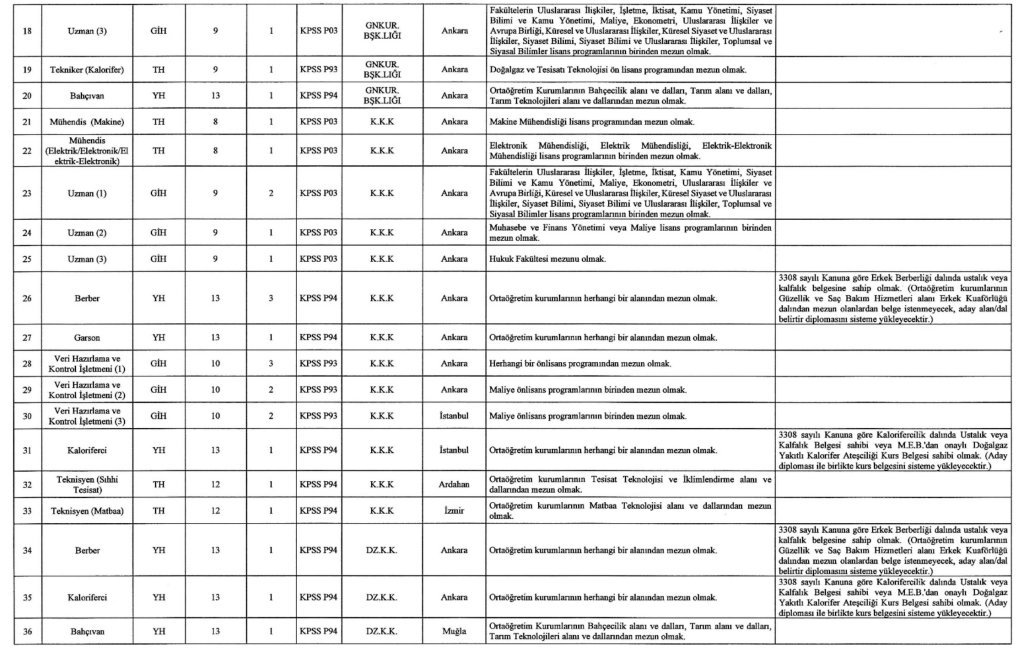
MSB Hangi Kadrolara 1457 Memur Alacak?
Yayımlanan nitelik tablosuna göre MSB bünyesinde birçok farklı unvanda alım yapılacak.
Alımlar Sözleşmeli personel ve Devlet memuru statüsünde yapılacağından kontenjanları dikkatlice incelemeleri gerekmektedir.
- 448 Kişi Büro Personeli,
- 7 Kişi Çocuk Gelişimcisi,
- 375 Kişi Destek Personeli,
- 7 Kişi Diğer Teknik Hizmet Personeli,
- 33 Kişi Hemşire,
- 216 Kişi Mühendis,
- 1 Kişi Programcı,
- 11 Kişi Psikolog,
- 5 Kişi Sosyal Çalışmacı,
- 1 Kişi Tabip,
- 100 Kişi Tekniker,
- 146 Kişi Teknisyen,
- 2 Kişi Avukat
- 3 Kişi Bahçıvan
- 4 Kişi Berber
- 2 Kişi Fizyoterapist
- 1 Kişi Garson
- 10 Kişi Hizmetli
- 4 Kişi İstatistikçi
- 2 Kişi Kaloriferci
- 2 Kişi Mimar
- 8 Kişi Müendis (Bilgisayar)
- 1 Kişi Mühendis (Bilgisayar)
- 4 Kişi Mühendis (Çevre)
- 1 Kişi Mühendis (Elektrik-Elektronik)
- 1 Kişi Mühendis (Endüstri)
- 4 Kişi Mühendis (İnşaat)
- 5 Kişi Mühendis (Makine)
- 1 Kişi Mühendis (Mekatronik)
- 1 Kişi Mütercim Tercüman (İngilizce)
- 1 Kişi Psikolog
- 1 Kişi Tekniker (Harita ve Kadastro)
- 2 Kişi Tekniker (İnşaat)
- 1 Kişi Tekniker (Kalorifer)
Alımlar; Ankara başta olmak üzere farklı il ve birliklerde gerçekleştirilecek.
































KPSS Şartı Nedir?
MSB memur alımı için adayların 2024 KPSS’ye girmiş olması gerekiyor.
Kullanılacak KPSS puan türleri:
- KPSS P3 (Lisans)
- KPSS P93 (Ön lisans)
- KPSS P94 (Ortaöğretim)
Adaylar, ilgili kadro için belirlenen en yüksek KPSS puanından başlanarak sıralamaya tabi tutulacak.
MSB Memur Alımı Genel Başvuru Şartları
Adaylarda genel olarak aşağıdaki şartlar aranacak:
- Türkiye Cumhuriyeti vatandaşı olmak
- Kamu haklarından mahrum bulunmamak
- Türk Ceza Kanunu’nun 53’üncü maddesinde belirtilen suçlardan mahkûm olmamak
- Erkek adaylar için askerlikle ilişiği bulunmamak
(yapmış, tecilli veya muaf olmak) - Görevini yapmasına engel olabilecek akıl hastalığı bulunmamak
- Güvenlik soruşturması ve arşiv araştırmasının olumlu sonuçlanması
- İlan edilen kadro için belirlenen öğrenim, bölüm ve özel şartları taşımak
Özel Şartlar Nelerdir?
- Mühendis kadroları için ilgili fakültelerden mezun olmak
- VHKİ kadrosu için bilgisayar sertifikası veya ilgili dersleri almış olmak
- Avukat kadrosu için hukuk fakültesi mezunu olmak ve avukatlık ruhsatına sahip olmak
- Tekniker ve teknisyen kadroları için ilgili mesleki eğitim şartını sağlamak
Her kadronun özel şartları kılavuzda ayrı ayrı belirtilmiştir.
İLANIN KILAVUZU BURADA
🧮 Maaşınızı Hemen Hesaplayın
2026 yılı güncel katsayılarına göre memur, emekli, asker ve sözleşmeli personel maaşınızı tek sayfadan kolayca hesaplayın.
2026 Maaş Hesaplama Robotu →📲 Artık haberler size gelsin
📌 Yeni memur ve personel alımlarından anında haberdar olmak için İşin Olsa mobil uygulamasını indir ve Instagram hesabımızı takip et.

