KPSS 2025/2 İle 745 Büro Personeli Alımı VE TABAN KPSS Puanları

KPSS 2025/2 tercih kılavuzu ile kamuya 745 büro personeli alımı yapılacak. Ön lisans mezunu 499, lisans mezunu 246 büro personeli kontenjanları, KPSS şartı ve tercih süreci İşin Olsa’da.

Okuma süresi: 3 dakika

Paylaş
Abone Ol google-news

ÖSYM tarafından yayımlanan KPSS 2025/2 Merkezi Yerleştirme Tercih Kılavuzu ile birlikte kamu kurumlarında istihdam edilmek üzere yapılacak büro personeli alımlarının kontenjanları netleşti. Buna göre farklı kamu kurum ve kuruluşlarında görevlendirilmek üzere ön lisans ve lisans mezunu toplam 745 Büro Personeli alımı gerçekleştirilecek.

Alımlar, KPSS puanı esas alınarak merkezi yerleştirme yöntemiyle yapılacak olup herhangi bir mülakat uygulanmayacak. İşin Olsa olarak detayları sizler için derledik.

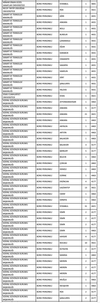
745 Büro Personeli Alımı Kontenjan Dağılımı

KPSS 2025/2 tercih kılavuzuna göre büro personeli alımları iki farklı öğrenim düzeyinde yapılacak.

Ön Lisans Mezunu 499 Büro Personeli Alımı

Ön lisans mezunu adaylar arasından yapılacak 499 kişilik Büro Personeli alımı, bakanlıklar, üniversiteler, il özel idareleri ve çeşitli kamu kurumlarının merkez ve taşra teşkilatlarında gerçekleştirilecek.

image 134

Lisans Mezunu 246 Büro Personeli Alımı

Lisans mezunu adaylar için ise 246 Büro Personeli kontenjanı ayrıldı. Lisans düzeyindeki alımlar, daha çok merkez teşkilatlarında ve uzmanlık birimlerine destek sağlayan kadrolarda yoğunlaşıyor.

Adayların, kılavuzda belirtilen bölümlerden mezun olmaları ve ilgili nitelik kodlarını taşımaları gerekiyor.

image 135
image 136
image 137

Büro Personeli Alımı İçin Aranan Genel Şartlar

KPSS 2025/2 kapsamında yapılacak büro personeli alımlarında adaylardan 657 sayılı Devlet Memurları Kanunu’nun 48. maddesinde yer alan genel şartlar aranacak. Buna göre adayların;

  • Türkiye Cumhuriyeti vatandaşı olması,
  • Kamu haklarından mahrum bulunmaması,
  • Görevini yapmasına engel sağlık sorununun bulunmaması,
  • Güvenlik soruşturması ve arşiv araştırmasından olumlu sonuç alması

gerekiyor.

KPSS Şartı Nedir?

Büro personeli alımlarında adayların;

  • Ön lisans mezunları: KPSS P93,
  • Lisans mezunları: KPSS P3

puan türünden 2024 KPSS’ye girmiş ve geçerli bir puan almış olmaları şart. Taban puan ilan edilmemiş olup, yerleştirmeler tamamen puan üstünlüğüne göre yapılacak.

Tercihler Nasıl Yapılacak?

KPSS 2025/2 tercih süreci ÖSYM tarafından 18 Aralık 2025 tarihinde başlatıldı. Adaylar tercihlerini;

  • Sadece ÖSYM Aday İşlemleri Sistemi üzerinden,
  • 25 Aralık 2025 tarihine kadar

gerçekleştirebilecek. Tercih yapmadan önce mezuniyet, nitelik kodları ve kadro şartlarının dikkatle incelenmesi büyük önem taşıyor.

Büro Personeli Alımların Taban KPSS Puanı Kaç Olacak?

Ön Lisans Mezunu Geçmiş Taban Puanlar:

Ekran Resmi 2025 12 25 12.12.58

Lisans Mezunu Taban KPSS Puan Geçmiş Alımda:

Ekran Resmi 2025 12 25 12.13.59

🧮 Maaşınızı Hemen Hesaplayın

2026 yılı güncel katsayılarına göre memur, emekli, asker ve sözleşmeli personel maaşınızı tek sayfadan kolayca hesaplayın.

2026 Maaş Hesaplama Robotu →

📲 Artık haberler size gelsin

📌 Yeni memur ve personel alımlarından anında haberdar olmak için İşin Olsa mobil uygulamasını indir ve Instagram hesabımızı takip et.

Yorumlar (0)

Bir yanıt yazın

E-posta adresiniz yayınlanmayacak. Gerekli alanlar * ile işaretlenmişlerdir

Sorumluluk Reddi Beyanı:

www.isinolsa.com, herhangi bir devlet kurumu, resmi kuruluş veya kamu hizmeti sağlayıcısı değildir. Sitemiz, yalnızca özel sektör hizmetleri sunan bağımsız bir platformdur ve devletle veya resmi kurumlarla hiçbir bağlantısı yoktur. Daha fazla bilgi için gizlilik politikamıza buradan ulaşabilirsiniz.